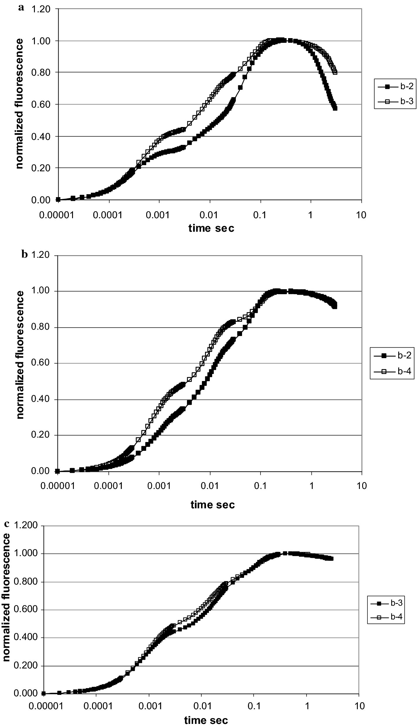
Fig. 6

Fluorescence induction scans from 10 μs to 3 s after double normalization between Fo = 0 and Fmax at 0.3 s = 1, for Calamagrostis (sites b-2 and b-3), Rhododendron (sites b-2 and b-4) (data of 2. August 2017) and Vaccinium (sites b-3 and b-4) (data of 13. September 2017). All data points are means of 15 measurements