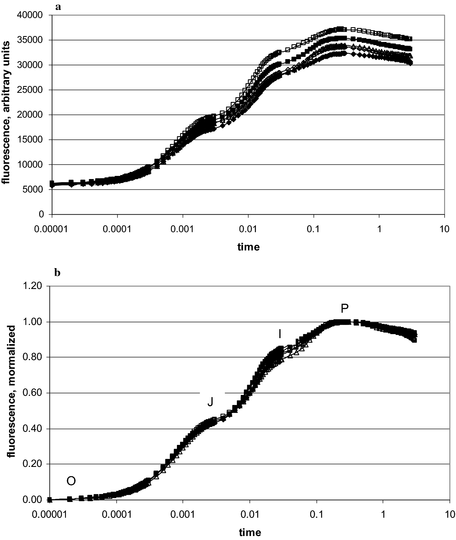
Fig. 5

Fluorescence induction scans from 10 μs to 3 s of 5 different Alnus leaves from site b-1, a raw data, b the same data after double normalization between Fo = 0 and Fmax at 0.3 s = 1. All data points are means of 15 measurements (data of 2. August 2017)