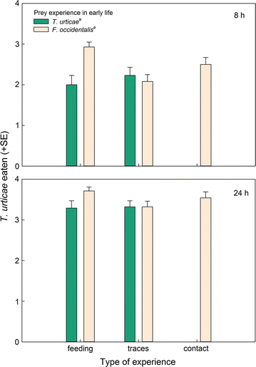
Fig. 6
From: Non-associative versus associative learning by foraging predatory mites

Number of T. urticae nymphs consumed by gravid thrips-experienced and -naïve (spider mite T. urticae-experienced) N. californicus females, simultaneously offered four spider mite nymphs, T. urticae, plus four thrips larvae, F. occidentalis, after 8 and 24 h, in dependence of the predators’ type of experience early in life. Type of experience was either contact with live prey but no feeding (contact), feeding on prey (feeding), or contact with prey traces left on the surface (traces). The same superscript letter accompanying prey species experience indicates non-significance (GEE; P > 0.05)